Question 1:
A copper wire, 3 mm in diameter, is wound about a cylinder whose length is 12 cm, and diameter 10 cm, so as to cover the curved surface of the cylinder. Find the length and mass of the wire, assuming the density of copper to be 8.88 g per cm3.
It can be observed that 1 round of wire will cover 3 mm height of cylinder.
Length of wire required in 1 round = Circumference of base of cylinder
= 2πr = 2π × 5 = 10π
Length of wire in 40 rounds = 40 × 10π
= 1257.14 cm = 12.57 m
Radius of wire
Volume of wire = Area of cross-section of wire × Length of wire
= π(0.15)2 × 1257.14
= 88.898 cm3
Mass = Volume × Density
= 88.898 × 8.88
= 789.41 gm
Question 2:
A right triangle whose sides are 3 cm and 4 cm (other than hypotenuse) is made to revolve about its hypotenuse. Find the volume and surface area of the double cone so formed. (Choose value of π as found appropriate.)
The double cone so formed by revolving this right-angled triangle ABC about its hypotenuse is shown in the figure.
Hypotenuse
=
5 cm
Area of ΔABC
Volume of double cone = Volume of cone 1 + Volume of cone 2
= 30.14 cm3
Surface area of double cone = Surface area of cone 1 + Surface area of cone 2
= πrl1 + πrl2
= 52.75 cm2
Question 3:
A cistern, internally measuring 150 cm × 120 cm × 110 cm, has 129600 cm3 of water in it. Porous bricks are placed in the water until the cistern is full to the brim. Each brick absorbs one-seventeenth of its own volume of water. How many bricks can be put in without overflowing the water, each brick being 22.5 cm × 7.5 cm × 6.5 cm?
Volume of cistern = 150 × 120 × 110
= 1980000 cm3
Volume to be filled in cistern = 1980000 − 129600
= 1850400 cm3
Let n numbers of porous bricks were placed in the cistern.
Volume of n bricks = n × 22.5 × 7.5 × 6.5
= 1096.875n
As each brick absorbs one-seventeenth of its volume, therefore, volume absorbed by these bricks
n = 1792.41
Therefore, 1792 bricks were placed in the cistern.
Radius (r1) of upper circular end of frustum part
Radius (r2) of lower circular end of frustum part = Radius of circular end of cylindrical
part
Height (h1) of frustum part = 22 − 10 = 12 cm
Height (h2) of cylindrical part = 10 cm
Slant height (l) of frustum part
Area of tin sheet required = CSA of frustum part + CSA of cylindrical part
= 1980000 cm3
Volume to be filled in cistern = 1980000 − 129600
= 1850400 cm3
Let n numbers of porous bricks were placed in the cistern.
Volume of n bricks = n × 22.5 × 7.5 × 6.5
= 1096.875n
As each brick absorbs one-seventeenth of its volume, therefore, volume absorbed by these bricks
n = 1792.41
Therefore, 1792 bricks were placed in the cistern.
Question 5:
An oil funnel made of tin sheet consists of a 10 cm long cylindrical portion attached to a frustum of a cone. If the total height is 22 cm, diameter of the cylindrical portion is 8 cm and the diameter of the top of the funnel is 18 cm, find the area of the tin sheet required to make the funnel (see the given figure).
Radius (r1) of upper circular end of frustum part
Radius (r2) of lower circular end of frustum part = Radius of circular end of cylindrical
part
Height (h1) of frustum part = 22 − 10 = 12 cm
Height (h2) of cylindrical part = 10 cm
Slant height (l) of frustum part
Area of tin sheet required = CSA of frustum part + CSA of cylindrical part
Question 6:
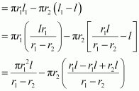
Let ABC be a cone. A frustum DECB is cut by a plane parallel to its base. Let r1 and r2 be the radii of the ends of the frustum of the cone and h be the height of the frustum of the cone.
In ΔABG and ΔADF, DF||BG
∴ ΔABG ∼ ΔADF
CSA of frustum DECB = CSA of cone ABC − CSA cone ADE
CSA of frustum =
Question 7:






























